logo
pinterest
pinterest
logo
Danh mục
  • Tâm Lý Kỹ Năng
  • Tôn Giáo - Tâm Linh
  • Kiến Trúc Xây Dựng
  • Y Học Sức Khỏe
  • Văn Học Nghệ Thuật
  • Thể Thao Võ Thuật
  • Truyện Ngắn - Tiểu Thuyết
  • Lãng Mạn - Ngôn Tình
  • Khoa Học - Công Nghệ
  • Truyện Tranh
  • Thể Loại Khác
  • Sách Nói - Audio
  • Chính Trị - Xã Hội
  • Phiêu Lưu - Trinh Thám
  • Giáo Dục - Đào Tạo
  • Marketing Kinh Doanh
  • Lịch Sử
  • Viễn Tưởng
  • Giải Trí
  • Thiếu Nhi
  • Thư Viện Pháp Luật
  • Tâm Lý - Kỹ Năng
  • Triết Học - Lý Luận
  • Thư Viện
  • Biên Khảo - Địa Lý
  • Văn Học - Nghệ Thuật
  • Self Help - Khởi Nghiệp
  • Thể Thao - Võ Thuật
  • Tình Cảm - Gia Đình
  • Trang chủ
  • Sách Nói
  • Giới thiệu
    • Liên Hệ
    • Chính sách
  • Truyện
    • NetTruyen
    • TruyenQQ
    • UmeTruyen
    • SayTruyen
    • TruyenFull
    • DuaLeoTruyen
    • Meosua

pdfthuviensach@gmail.com

logo
  • Giới thiệu
    • Liên Hệ
    • Chính sách
  • Truyện
    • NetTruyen
    • TruyenQQ
    • UmeTruyen
    • SayTruyen
    • TruyenFull
    • DuaLeoTruyen
    • Meosua
Liên hệ hỗ trợ: pdfthuviensach@gmail.com

Hoặc theo dõi chúng tôi

Pinterest Thư Viện PDF Kênh youtube thư viện pdf
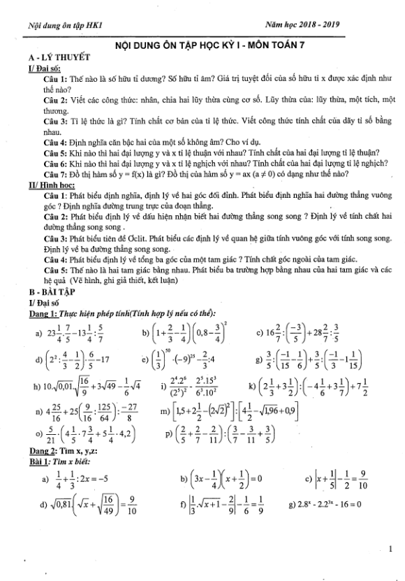
Trang chủ Giáo dục - Đào tạo Nội dung ôn tập học kỳ 1 Toán 7 năm 2018 – 2019 trường THCS Láng Thượng – Hà Nội
Nội dung ôn tập học kỳ 1 Toán 7 năm 2018 – 2019 trường THCS Láng Thượng – Hà Nội

Nội dung ôn tập học kỳ 1 Toán 7 năm 2018 – 2019 trường THCS Láng Thượng – Hà Nội

Thể loại: Giáo dục - Đào tạo
Tác giả : Đang Cập Nhật
  • Định dạng : docs
  • Lượt xem : 58
  • Số lượt tải : 11
Đọc sách
Tải xuống
  • Mô tả

Sách liên quan

Lập Trình Căn Bản
Liên quan

Lập Trình Căn Bản

Codegym
Bách Khoa Thai Giáo - Tập 2 - Phát Triển Toàn Diện Trong Năm Đầu Đời
Liên quan

Bách Khoa Thai Giáo - Tập 2 - Phát Triển Toàn Diện Trong Năm Đầu Đời

Vương Kỳ
Bách Khoa Thai Giáo - Tập 1 - Giáo Dục Thai Nhi Và Sinh Con Ưu Việt
Liên quan

Bách Khoa Thai Giáo - Tập 1 - Giáo Dục Thai Nhi Và Sinh Con Ưu Việt

Vương Kỳ
Cẩm Nang Cho Các Bà Mẹ Trẻ - Mang Thai Và Sinh Đẻ
Liên quan

Cẩm Nang Cho Các Bà Mẹ Trẻ - Mang Thai Và Sinh Đẻ

Ngọc Lan
Thai Nghén Sinh Đẻ Và Chăm Sóc Em Bé
Liên quan

Thai Nghén Sinh Đẻ Và Chăm Sóc Em Bé

Đại Minh
Cẩm Nang Chăm Sóc Trẻ
Liên quan

Cẩm Nang Chăm Sóc Trẻ

Sưu Tầm
Hành Trình Thai Giáo 280 Ngày
Liên quan

Hành Trình Thai Giáo 280 Ngày

Hán Trúc
Biết Tất Tần Tật Chuyện Trong Thiên Hạ
Liên quan

Biết Tất Tần Tật Chuyện Trong Thiên Hạ

Nhiều Tác Giả
Truyện Hot 🔥
Xem tất cả →
1. Cô Đi Mà Lấy Chồng Tôi Đi
Cô Đi Mà Lấy Chồng Tôi Đi
2. Thanh Gươm Diệt Quỷ
Thanh Gươm Diệt Quỷ
3. One Piece
One Piece
4. Tiên Nghịch
Tiên Nghịch
5. Không Cẩn Thận, Lưu Danh Muôn Thủa
Không Cẩn Thận, Lưu Danh Muôn Thủa
6. Phàm Nhân Tu Tiên
Phàm Nhân Tu Tiên
7. Tình Yêu Của Ik Seob
Tình Yêu Của Ik Seob
8. Shuumatsu no Valkyrie
Shuumatsu no Valkyrie
9. Đại Quản Gia Là Ma Hoàng
Đại Quản Gia Là Ma Hoàng
10. Thiên quan tứ phúc
Thiên quan tứ phúc
Gợi ý danh mục
  • Tôn Giáo - Tâm Linh
  • Lịch Sử - Quân Sự
  • Hồi Ký - Tùy Bút
  • công nghệ thông tin
  • Giáo dục - Đào tạo
Download Confirmation
Are you sure you want to download this book?
Đọc Nội dung ôn tập học kỳ 1 Toán 7 năm 2018 – 2019 trường THCS Láng Thượng – Hà Nội

Loading PDF... Please wait

Quick Download
Loading...

Thư viện PDF

thuviensachpdfofficial

Vì một cộng đồng, một văn hóa đọc

logo
Liên hệ với chúng tôi

Khiếu nại: pdfthuviensach@gmail.com

Hỗ trợ: pdfthuviensach@gmail.com

Thời gian: Tất cả các ngày trong tuần trừ ngày lễ
Chủ Nhật : 08:00 Sáng - 11:00 Trưa

Liên hệ QC: @khakhukhu

Menu
  • Giới thiệu
  • Liên Hệ
  • Miễn Trừ Trách Nhiệm
  • Chính sách bảo mật
  • Điều khoản và điều kiện sử dụng dịch vụ
Liên kết
  • Thư viện Quốc gia Việt Nam
  • Theo dõi chúng tôi
    Pinterest
    Twitter
    Reddit
    Blogger
    Blogspot
    Gravatar
    Flickr
    YouTube
    Microsoft
    Telegra.ph
    Patreon
    Plurk
    Flipboard
    Band
    Scoop.it
    Instapaper
    Pearltrees

© 2026, ThuVienSachPdf.Com

Designed by ThuVienSachPdf.Com. All rights reserved