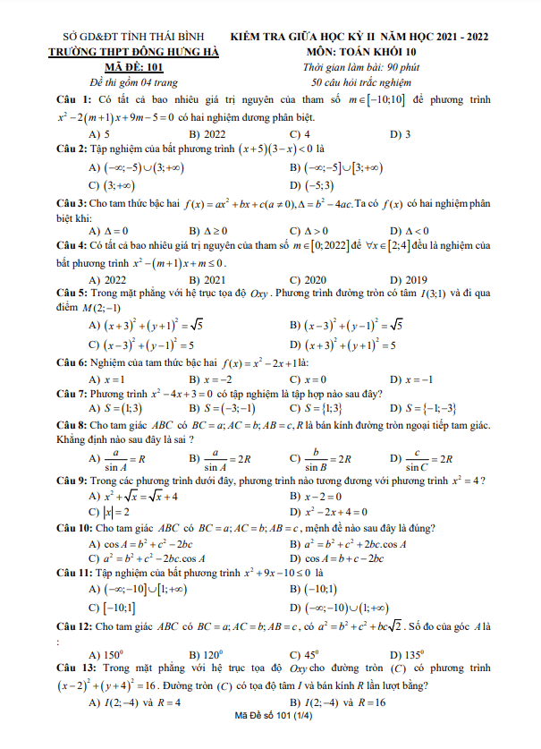
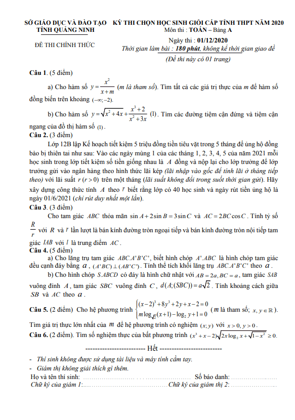
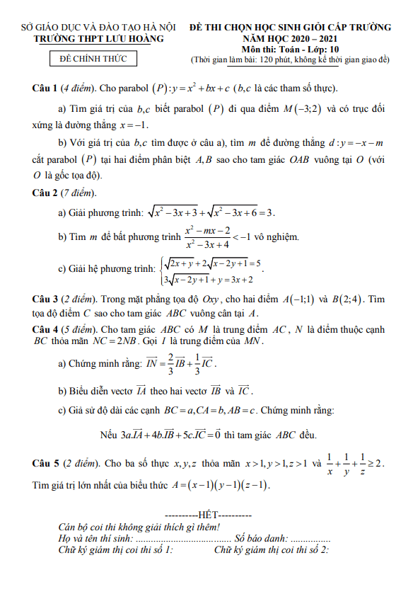
Tác Giả: Đang Cập Nhật

Trang 129/516

Tổng số : 12371