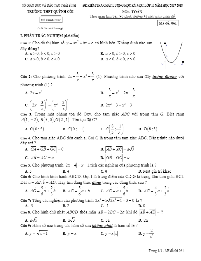
Tác Giả: Đang Cập Nhật

Trang 41/516

Tổng số : 12371