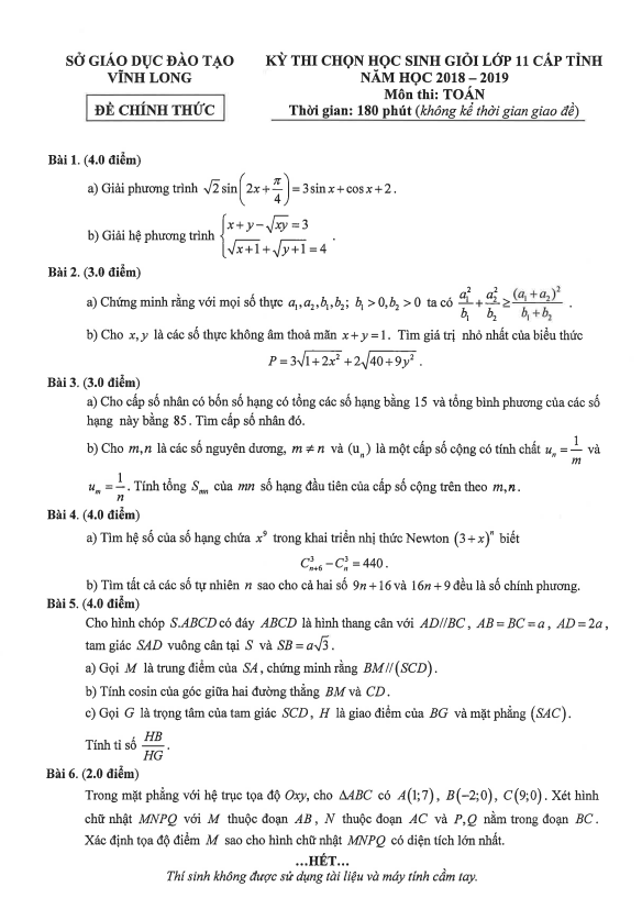
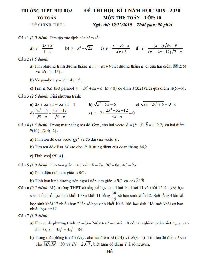
Tác Giả: Đang Cập Nhật

Trang 89/516

Tổng số : 12371